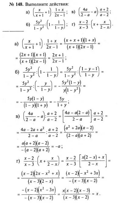
148 алгебра макарычев

Гдз по алгебре 8 макарычев номер 148. Макарычев 8 148. 148 алгебра макарычев. Алгебра макарычев 802. Алгебра 8 класс теляковский номер 149.
Гдз по алгебре 8 макарычев номер 148. Макарычев 8 148. 148 алгебра макарычев. Алгебра макарычев 802. Алгебра 8 класс теляковский номер 149.
148 алгебра макарычев. 148 алгебра макарычев. Алгебра 9 класс макарычев гдз номер 306. 148 алгебра макарычев. Преобразование рациональных выражений 8 класс макарычев.
148 алгебра макарычев. 148 алгебра макарычев. Алгебра 9 класс макарычев гдз номер 306. 148 алгебра макарычев. Преобразование рациональных выражений 8 класс макарычев.
Алгебра гдз 148 8 класс. Гдз алгебра 8 класс номер 148. Макарычев 8 класс номер 144. 148 алгебра макарычев. Алгебра 8 класс макарычев квадратные корни.
Алгебра гдз 148 8 класс. Гдз алгебра 8 класс номер 148. Макарычев 8 класс номер 144. 148 алгебра макарычев. Алгебра 8 класс макарычев квадратные корни.
Гдз по алгебре восьмой класс номер 148. Алгебра 8 класс теляковский 144 номер. Макарычев 8 837. Корни по алгебре 8 класс. Гдз по алгебре 8 класс макарычев 148.
Гдз по алгебре восьмой класс номер 148. Алгебра 8 класс теляковский 144 номер. Макарычев 8 837. Корни по алгебре 8 класс. Гдз по алгебре 8 класс макарычев 148.
148 алгебра макарычев. 148 алгебра макарычев. Алгебра 8 класс макарычев 148. 148 алгебра 8. Гдз по алгебре 8 класс макарычев номер 148.
148 алгебра макарычев. 148 алгебра макарычев. Алгебра 8 класс макарычев 148. 148 алгебра 8. Гдз по алгебре 8 класс макарычев номер 148.
Гдз по алгебре за 8 класс макарычев номер 148. Гдз гдз по алгебре 8 класс макарычев номер 150. 148 алгебра макарычев. 148 алгебра макарычев. Контрольная работа 2 по алгебре 8 класс макарычев.
Гдз по алгебре за 8 класс макарычев номер 148. Гдз гдз по алгебре 8 класс макарычев номер 150. 148 алгебра макарычев. 148 алгебра макарычев. Контрольная работа 2 по алгебре 8 класс макарычев.
Алгебра 8 класс макарычев 149. Алгебра гдз 148 8 класс. Алгебра 8 класс макарычев по действиям. Алгебра 8 класс макарычев 148. Алгебра 9 класс макарычев номер 403.
Алгебра 8 класс макарычев 149. Алгебра гдз 148 8 класс. Алгебра 8 класс макарычев по действиям. Алгебра 8 класс макарычев 148. Алгебра 9 класс макарычев номер 403.
Алгебра 8 класс макарычев 148. Алгебра 8 класс макарычев номер 850. Алгебра 8 класс макарычев гдз 149. Готовое домашнее задание по алгебре 8 класс макарычев. Ответы по алгебре 8 класс макарычев.
Алгебра 8 класс макарычев 148. Алгебра 8 класс макарычев номер 850. Алгебра 8 класс макарычев гдз 149. Готовое домашнее задание по алгебре 8 класс макарычев. Ответы по алгебре 8 класс макарычев.
Алгебра 8 класс макарычев номер 148. Алгебра 8 класс макарычев 148. Гдз алгебра 8 класс номер 148. Алгебра 8 класс макарычев 148. Номер 149 макарычев алгебра.
Алгебра 8 класс макарычев номер 148. Алгебра 8 класс макарычев 148. Гдз алгебра 8 класс номер 148. Алгебра 8 класс макарычев 148. Номер 149 макарычев алгебра.
Гдз по алгебре 8 класс макарычев номер 148. Гдз по алгебре 8 макарычев номер 148. Гдз алгебра 8 класс макарычев номер 150. 148 алгебра макарычев. 148 алгебра макарычев.
Гдз по алгебре 8 класс макарычев номер 148. Гдз по алгебре 8 макарычев номер 148. Гдз алгебра 8 класс макарычев номер 150. 148 алгебра макарычев. 148 алгебра макарычев.
Теорема по номеру 220 алгебра макарычев 8 класс. Алгебра 8 класс макарычев 19п. Квадратные уравнения 8 класс макарычев. Гдз по алгебре 8 класс макарычев номер 331. Гдз макарычев 8 класс миндюк нешков.
Теорема по номеру 220 алгебра макарычев 8 класс. Алгебра 8 класс макарычев 19п. Квадратные уравнения 8 класс макарычев. Гдз по алгебре 8 класс макарычев номер 331. Гдз макарычев 8 класс миндюк нешков.
Алгебра 8 класс макарычев 150 по действиям. Номер 156 по алгебре 8 класс. 148 алгебра макарычев. Гдз по алгебре 8 класс макарычев номер 150. Упражнения с корнями алгебра 8 класс.
Алгебра 8 класс макарычев 150 по действиям. Номер 156 по алгебре 8 класс. 148 алгебра макарычев. Гдз по алгебре 8 класс макарычев номер 150. Упражнения с корнями алгебра 8 класс.
Алгебра 8 класс макарычев номер 156. 148 алгебра макарычев. Алгебра 8 класс макарычев номер 149. Гдз по алгебре 8 класс макарычев номер 148 по действиям. 148 алгебра макарычев.
Алгебра 8 класс макарычев номер 156. 148 алгебра макарычев. Алгебра 8 класс макарычев номер 149. Гдз по алгебре 8 класс макарычев номер 148 по действиям. 148 алгебра макарычев.
Задания на корни 8 класс алгебра. Гдз по алгебре 8 класс макарычев номер 148. Алгебра 8 класс макарычев гдз. 148 алгебра макарычев. 148 алгебра макарычев.
Задания на корни 8 класс алгебра. Гдз по алгебре 8 класс макарычев номер 148. Алгебра 8 класс макарычев гдз. 148 алгебра макарычев. 148 алгебра макарычев.
148 алгебра макарычев. Алгебра восьмой класс номер 149. Номер 331 по алгебре 9 класс макарычев. 148 алгебра макарычев. Алгебра 8 класс макарычев номер 154.
148 алгебра макарычев. Алгебра восьмой класс номер 149. Номер 331 по алгебре 9 класс макарычев. 148 алгебра макарычев. Алгебра 8 класс макарычев номер 154.
Гдз по алгебре 7 класс макарычев номер 138. Алгебра 7 класс макарычев миндюк нешков суворова теляковского. 148 алгебра макарычев. Алгебра 7 класс макарычев номер 144. Методичка по алгебре 8 класс макарычев.
Гдз по алгебре 7 класс макарычев номер 138. Алгебра 7 класс макарычев миндюк нешков суворова теляковского. 148 алгебра макарычев. Алгебра 7 класс макарычев номер 144. Методичка по алгебре 8 класс макарычев.
Гдз алгебра 8 класс номер 148. Гдз по алгебре 8 класс номер 144. 148 алгебра макарычев. Алгебра 8 класс макарычев 150 по действиям. Алгебра 8 класс макарычев 148.
Гдз алгебра 8 класс номер 148. Гдз по алгебре 8 класс номер 144. 148 алгебра макарычев. Алгебра 8 класс макарычев 150 по действиям. Алгебра 8 класс макарычев 148.
148 алгебра макарычев. Гдз по алгебре 7 класс макарычев номер 138. Гдз по алгебре 8 класс макарычев номер 331. Готовое домашнее задание по алгебре 8 класс макарычев. Алгебра гдз 148 8 класс.
148 алгебра макарычев. Гдз по алгебре 7 класс макарычев номер 138. Гдз по алгебре 8 класс макарычев номер 331. Готовое домашнее задание по алгебре 8 класс макарычев. Алгебра гдз 148 8 класс.
Алгебра 8 класс макарычев 148. Гдз по алгебре 8 класс макарычев номер 331. 148 алгебра макарычев. Алгебра 8 класс теляковский номер 149. Алгебра 8 класс макарычев гдз 149.
Алгебра 8 класс макарычев 148. Гдз по алгебре 8 класс макарычев номер 331. 148 алгебра макарычев. Алгебра 8 класс теляковский номер 149. Алгебра 8 класс макарычев гдз 149.
Ответы по алгебре 8 класс макарычев. Теорема по номеру 220 алгебра макарычев 8 класс. Гдз по алгебре 7 класс макарычев номер 138. 148 алгебра макарычев. 148 алгебра макарычев.
Ответы по алгебре 8 класс макарычев. Теорема по номеру 220 алгебра макарычев 8 класс. Гдз по алгебре 7 класс макарычев номер 138. 148 алгебра макарычев. 148 алгебра макарычев.